相关内容
光束在垂直于光轴平面上的电场可由高斯方程表示,有时还会有附加的抛物线型相位曲线。
尤其是在激光物理中,激光光束通常为高斯光束,是以数学家和物理学家Johann Carl Friedrich Gauß命名。这时功率为P的光束光强的横断面可由高斯方程表示:

除了强度可以采用高斯方程描述,高斯光束的横向相位曲线可由最多二阶多项式来描述。在一个方向上相位的线性变化可由一个倾角描述,相位的二阶变化则与光束的发散和会聚相关。
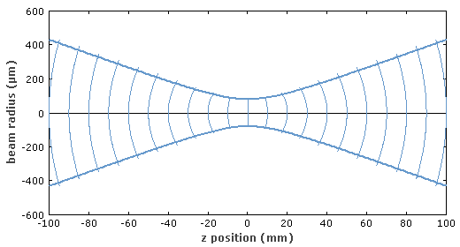
高斯光束的传输
通常在傍轴近似适用的情况下将光束看做高斯光束,即光束发散角比较小。这一近似下,传播方程中的二阶导数项可以忽略,只得到一阶微分方程。并且采用这种近似时,高斯光束在自由空间中传播仍然保持高斯型,其参数会发生一些变化。一束单色光束,波长为 λ,在z轴传播时,电场的复振幅为:


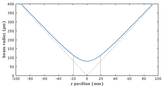
在传播方向上的光束半径变化为:


.png)
以上方程中 z = 0对应于束腰或者焦点,在该点光束半径是最小的,相位曲线是平坦的。波前曲率半径为R的演化遵循方程:


远场的光束发散角为:

傍轴近似需要焦点处光束半径比波长大。这表明这时光束发散角不会很大,并且瑞利长度远大于光束半径。紧聚焦光束一般不能很好的满足傍轴近似,这时需要更加复杂的方法来计算光束传播情况。
复数参数
在z处高斯光束的状态可以由一个复数q表征:



像散光束
在两垂直的横平面方向上,写为x和y方向,高斯光束的半径和发散角可能不同。上面给出的方程可分别用来描述每一方向上光束半径的变化。如果两个方向上的焦点位置不重合,就称该光束是像散的。
高斯光束和谐振腔模式
如果谐振腔是稳定的,谐振腔中的光学介质是各项同性的,介质表面要么是平坦的或者是抛物线形状的,那么光学谐振腔横向的最低阶模式(TEM00或者横向基模)就是高斯模。因此,只辐射横向基模的激光器辐射的光束接近于高斯型。而任何偏离之前描述的条件,例如,增益介质中存在热透镜效应等,都会使光束为非高斯型,同时还会激发多个纵模。更高阶纵模可由厄米-高斯方程或者拉盖尔-高斯方程来描述。任意情况下,与高斯谱型的偏离都可以由 M2因子定量表示。高斯光束具有最高的光束质量,对应的光束参量乘积最小,并且对应的M2 = 1。
光纤的基模并不严格为高斯型,但是形状与高斯型差别不是很大。因此,采用合适的光学元件,高斯光束可以有效进入单模光纤中(80%或更大)。
高斯光束的重要性
高斯光束的重要性体现在以下几个重要特性上:
- 在光轴的任意位置处高斯光束的强度横断面曲线都是高斯型,只是光束半径会发生变化。
- 通过一些简单的光学元件后(例如,无象差透镜)。
- 当腔内不存在光束畸变的情况下,高斯光束为光学谐振腔的最低阶模式(谐振腔模式)。因此许多激光器的输出都是高斯光束。
- 单模光纤中的模式形状接近于高斯型。通常在计算中会采用高斯近似因为这在计算光束传播情况时相对简单。
- 高阶模式对应的是厄米-高斯型。场分布更加复杂,光束参量乘积更大。
- 高斯模式分析可以推广到光束质量差的光束中,需要采用M2因子。
















































































































































































































































































电光Q开关.jpg)












































